迭代与递归的区别
递归:程序调用自身的编程技巧称为递归,是函数自己调用自己 .一个函数在其定义中直接或间接调用自身的一种方法,它通常把一个大型的复杂的问题转化为一个与原问题相似的规模较小的问题来解决,可以极大的减少代码量.递归的能力在于用有限的语句来定义对象的无限集合 。
迭代:利用变量的原值推算出变量的一个新值 .如果递归是自己调用自己的话,迭代就是A不停的调用B。
递归中一定有迭代,但是迭代中不一定有递归,大部分可以相互转换.能用迭代的不用递归,递归调用函数,浪费空间,并且递归太深容易造成堆栈的溢出。
递归和迭代都是循环 的一种。 简单地说,递归是重复调用函数自身实现循环。迭代是函数内某段代码实现循环,而迭代与普通循环的区别是:循环代码中参与运算的变量同时是保存结果的变量,当前保存的结果作为下一次循环计算的初始值 。
递归循环中,遇到满足终止条件的情况时逐层返回来结束。迭代则使用计数器结束循环。当然很多情况都是多种循环混合采用,这要根据具体需求。
1 2 3 4 5 6 7 8 9 10 11 12 13 14 15 16 17 int functionA (int n) { if (n>1 ) { return n+functionA(n-1 ); } else { return 1 ; } } int functionB (int n) { int i,s = 0 ; for (i = 1 ;i < n; i++) { s = s + i; } return s; }
二叉树的遍历模版 1 2 3 4 5 6 7 8 9 10 11 12 13 14 15 16 17 18 19 20 21 22 23 24 25 26 27 28 29 30 31 32 33 34 35 36 37 38 39 40 41 42 43 44 public List<Integer> preorderTraversal (TreeNode root) { List<Integer> res = new ArrayList <>(); preorder(root, res); return res; } private void preorder (TreeNode root, List<Integer> res) { if (root == null ) { return ; } res.add(root.val); preorder(root.left, res); preorder(root.right, res); } public class Solution { public List<Integer> preorderTraversal (TreeNode root) { List<Integer> res = new ArrayList <>(); if (root == null ) { return res; } Stack<TreeNode> stack = new Stack <>(); stack.push(root); while (!stack.isEmpty()) { TreeNode node = stack.pop(); res.add(node.val); if (node.right != null ) { stack.push(node.right); } if (node.left != null ) { stack.push(node.left); } } return res; } }
二叉树的前序遍历 1 2 3 4 5 6 7 8 9 10 11 12 13 14 15 16 17 18 19 20 21 22 23 24 25 26 27 28 29 30 31 32 33 34 35 36 37 38 39 40 41 42 43 44 45 46 47 public class Solution { public List<Integer> preorderTraversal (TreeNode root) { List<Integer> res = new ArrayList <>(); preorder(root, res); return res; } private void preorder (TreeNode root, List<Integer> res) { if (root == null ) { return ; } res.add(root.val); preorder(root.left, res); preorder(root.right, res); } } public class Solution { public List<Integer> preorderTraversal (TreeNode root) { List<Integer> res = new ArrayList <>(); if (root == null ) { return res; } Stack<TreeNode> stack = new Stack <>(); stack.push(root); while (!stack.isEmpty()) { TreeNode node = stack.pop(); res.add(node.val); if (node.right != null ) { stack.push(node.right); } if (node.left != null ) { stack.push(node.left); } } return res; } }
二叉树的中序遍历 1 2 3 4 5 6 7 8 9 10 11 12 13 14 15 16 17 18 19 20 21 22 23 24 25 26 27 28 29 30 31 32 33 34 35 36 37 38 39 40 41 42 43 public class Solution { public List<Integer> inorderTraversal (TreeNode root) { List<Integer> res = new ArrayList <>(); inorder(root, res); return res; } private void inorder (TreeNode root, List<Integer> res) { if (root == null ) { return ; } inorder(root.left, res); res.add(root.val); inorder(root.right, res); } } public class Solution { public List<Integer> inorderTraversal (TreeNode root) { List<Integer> res = new ArrayList <>(); Stack<TreeNode> stack = new Stack <>(); TreeNode curr = root; while (curr != null || !stack.isEmpty()) { while (curr != null ) { stack.push(curr); curr = curr.left; } TreeNode node = stack.pop(); res.add(node.val); curr = node.right; } return res; } }
二叉树的后序遍历 1 2 3 4 5 6 7 8 9 10 11 12 13 14 15 16 17 18 19 20 21 22 23 24 25 26 27 28 29 30 31 32 33 34 35 36 37 38 39 40 41 42 43 44 45 46 47 48 public class Solution { public List<Integer> postorderTraversal (TreeNode root) { List<Integer> res = new ArrayList <>(); postorder(root, res); return res; } private void postorder (TreeNode root, List<Integer> res) { if (root == null ) { return ; } postorder(root.left, res); postorder(root.right, res); res.add(root.val); } } public class Solution { public List<Integer> postorderTraversal (TreeNode root) { List<Integer> res = new ArrayList <>(); Stack<TreeNode> stack = new Stack <>(); TreeNode prev = null ; while (root != null || !stack.isEmpty()) { while (root != null ) { stack.push(root); root = root.left; } TreeNode node = stack.pop(); if (node.right == null || node.right == prev) { res.add(node.val); prev = node; root = null ; } else { stack.push(node); root = node.right; } } return res; } }
二叉树的层序遍历 1 2 3 4 5 6 7 8 9 10 11 12 13 14 15 16 17 18 19 20 21 22 23 24 25 26 27 28 29 30 31 32 33 34 35 36 public class Solution { public List<List<Integer>> levelOrder (TreeNode root) { List<List<Integer>> order = new ArrayList <>(); if (root == null ) { return order; } Queue<TreeNode> queue = new LinkedList <>(); queue.offer(root); while (!queue.isEmpty()) { List<Integer> level = new ArrayList <>(); int size = queue.size(); for (int i = 0 ; i < size; i++) { TreeNode curr = queue.poll(); level.add(curr.val); if (curr.left != null ) { queue.offer(curr.left); } if (curr.right != null ) { queue.offer(curr.right); } } if (!level.isEmpty()) { order.add(level); } } return order; } }
二叉树的锯齿形层序遍历 1 2 3 4 5 6 7 8 9 10 11 12 13 14 15 16 17 18 19 20 21 22 23 24 25 26 27 28 29 30 31 32 33 34 35 36 class Solution { public List<List<Integer>> zigzagLevelOrder (TreeNode root) { List<List<Integer>> ans = new LinkedList <List<Integer>>(); if (root == null ) { return ans; } Queue<TreeNode> nodeQueue = new ArrayDeque <TreeNode>(); nodeQueue.offer(root); boolean isOrderLeft = true ; while (!nodeQueue.isEmpty()) { Deque<Integer> levelList = new LinkedList <Integer>(); int size = nodeQueue.size(); for (int i = 0 ; i < size; ++i) { TreeNode curNode = nodeQueue.poll(); if (isOrderLeft) { levelList.offerLast(curNode.val); } else { levelList.offerFirst(curNode.val); } if (curNode.left != null ) { nodeQueue.offer(curNode.left); } if (curNode.right != null ) { nodeQueue.offer(curNode.right); } } ans.add(new LinkedList <Integer>(levelList)); isOrderLeft = !isOrderLeft; } return ans; } }
二叉树的层序遍历 II 1 2 3 4 5 6 7 8 9 10 11 12 13 14 15 16 17 18 19 20 21 22 23 24 25 26 27 28 class Solution { public List<List<Integer>> levelOrderBottom (TreeNode root) { List<List<Integer>> levelOrder = new LinkedList <List<Integer>>(); if (root == null ) { return levelOrder; } Queue<TreeNode> queue = new LinkedList <TreeNode>(); queue.offer(root); while (!queue.isEmpty()) { List<Integer> level = new ArrayList <Integer>(); int size = queue.size(); for (int i = 0 ; i < size; i++) { TreeNode node = queue.poll(); level.add(node.val); TreeNode left = node.left, right = node.right; if (left != null ) { queue.offer(left); } if (right != null ) { queue.offer(right); } } levelOrder.add(0 , level); } return levelOrder; } }
二叉树的最大深度 1 2 3 4 5 6 7 8 9 10 11 12 13 14 15 16 17 18 19 20 21 22 23 24 25 26 27 28 29 30 31 32 33 34 35 36 37 38 39 40 class Solution { public int maxDepth (TreeNode root) { if (root == null ) { return 0 ; } else { int leftHeight = maxDepth(root.left); int rightHeight = maxDepth(root.right); return Math.max(leftHeight, rightHeight) + 1 ; } } } class Solution { public int maxDepth (TreeNode root) { if (root == null ) { return 0 ; } Queue<TreeNode> queue = new LinkedList <TreeNode>(); queue.offer(root); int ans = 0 ; while (!queue.isEmpty()) { int size = queue.size(); while (size > 0 ) { TreeNode node = queue.poll(); if (node.left != null ) { queue.offer(node.left); } if (node.right != null ) { queue.offer(node.right); } size--; } ans++; } return ans; } }
二叉树的最小深度 1 2 3 4 5 6 7 8 9 10 11 12 13 14 15 16 17 18 19 20 21 22 23 24 25 26 27 28 29 30 31 32 33 34 35 36 37 38 39 40 41 42 43 44 45 46 47 48 49 50 51 52 53 54 55 56 57 58 59 60 class Solution { public int minDepth (TreeNode root) { if (root == null ) { return 0 ; } if (root.left == null && root.right == null ) { return 1 ; } int min_depth = Integer.MAX_VALUE; if (root.left != null ) { min_depth = Math.min(minDepth(root.left), min_depth); } if (root.right != null ) { min_depth = Math.min(minDepth(root.right), min_depth); } return min_depth + 1 ; } } class Solution { class QueueNode { TreeNode node; int depth; public QueueNode (TreeNode node, int depth) { this .node = node; this .depth = depth; } } public int minDepth (TreeNode root) { if (root == null ) { return 0 ; } Queue<QueueNode> queue = new LinkedList <QueueNode>(); queue.offer(new QueueNode (root, 1 )); while (!queue.isEmpty()) { QueueNode nodeDepth = queue.poll(); TreeNode node = nodeDepth.node; int depth = nodeDepth.depth; if (node.left == null && node.right == null ) { return depth; } if (node.left != null ) { queue.offer(new QueueNode (node.left, depth + 1 )); } if (node.right != null ) { queue.offer(new QueueNode (node.right, depth + 1 )); } } return 0 ; } }
路径总和 1 2 3 4 5 6 7 8 9 10 11 class Solution { public boolean hasPathSum (TreeNode root, int sum) { if (root == null ) { return false ; } if (root.left == null && root.right == null ) { return sum == root.val; } return hasPathSum(root.left, sum - root.val) || hasPathSum(root.right, sum - root.val); } }
路径总和 II 1 2 3 4 5 6 7 8 9 10 11 12 13 14 15 16 17 18 19 20 21 22 23 24 25 26 27 28 29 30 31 32 33 34 35 36 37 38 39 40 41 42 43 44 45 46 47 48 49 50 51 52 53 54 55 56 57 58 59 60 61 62 63 64 65 66 67 68 69 70 71 72 73 74 75 76 class Solution { List<List<Integer>> ret = new LinkedList <List<Integer>>(); Deque<Integer> path = new LinkedList <Integer>(); public List<List<Integer>> pathSum (TreeNode root, int targetSum) { dfs(root, targetSum); return ret; } public void dfs (TreeNode root, int targetSum) { if (root == null ) { return ; } path.offerLast(root.val); targetSum -= root.val; if (root.left == null && root.right == null && targetSum == 0 ) { ret.add(new LinkedList <Integer>(path)); } dfs(root.left, targetSum); dfs(root.right, targetSum); path.pollLast(); } } class Solution { List<List<Integer>> ret = new LinkedList <List<Integer>>(); Map<TreeNode, TreeNode> map = new HashMap <TreeNode, TreeNode>(); public List<List<Integer>> pathSum (TreeNode root, int targetSum) { if (root == null ) { return ret; } Queue<TreeNode> queueNode = new LinkedList <TreeNode>(); Queue<Integer> queueSum = new LinkedList <Integer>(); queueNode.offer(root); queueSum.offer(0 ); while (!queueNode.isEmpty()) { TreeNode node = queueNode.poll(); int rec = queueSum.poll() + node.val; if (node.left == null && node.right == null ) { if (rec == targetSum) { getPath(node); } } else { if (node.left != null ) { map.put(node.left, node); queueNode.offer(node.left); queueSum.offer(rec); } if (node.right != null ) { map.put(node.right, node); queueNode.offer(node.right); queueSum.offer(rec); } } } return ret; } public void getPath (TreeNode node) { List<Integer> temp = new LinkedList <Integer>(); while (node != null ) { temp.add(node.val); node = map.get(node); } Collections.reverse(temp); ret.add(new LinkedList <Integer>(temp)); } }
二叉树中的最大路径和 1 2 3 4 5 6 7 8 9 10 11 12 13 14 15 16 17 18 19 20 21 22 23 24 25 26 27 28 class Solution { int maxSum = Integer.MIN_VALUE; public int maxPathSum (TreeNode root) { maxGain(root); return maxSum; } public int maxGain (TreeNode node) { if (node == null ) { return 0 ; } int leftGain = Math.max(maxGain(node.left), 0 ); int rightGain = Math.max(maxGain(node.right), 0 ); int priceNewpath = node.val + leftGain + rightGain; maxSum = Math.max(maxSum, priceNewpath); return node.val + Math.max(leftGain, rightGain); } }
对称二叉树 1 2 3 4 5 6 7 8 9 10 11 12 13 14 15 16 17 18 19 20 21 22 23 24 25 26 27 class Solution { public boolean isSymmetric (TreeNode root) { return check(root,root); } public boolean check (TreeNode u,TreeNode v) { Queue<TreeNode> q = new LinkedList <TreeNode>(); q.offer(u); q.offer(v); while (!q.isEmpty()) { u = q.poll(); v = q.poll(); if (u == null && v == null ) { continue ; } if ((u == null || v == null ) || (u.val != v.val)) { return false ; } q.offer(u.left); q.offer(v.right); q.offer(u.right); q.offer(v.left); } return true ; } }
二叉树的最近公共祖先 1 2 3 4 5 6 7 8 9 10 11 12 13 14 15 16 17 18 19 20 21 22 23 class Solution { private TreeNode ans; public Solution () { this .ans = null ; } private boolean dfs (TreeNode root, TreeNode p, TreeNode q) { if (root == null ) return false ; boolean lson = dfs(root.left, p, q); boolean rson = dfs(root.right, p, q); if ((lson && rson) || ((root.val == p.val || root.val == q.val) && (lson || rson))) { ans = root; } return lson || rson || (root.val == p.val || root.val == q.val); } public TreeNode lowestCommonAncestor (TreeNode root, TreeNode p, TreeNode q) { this .dfs(root, p, q); return this .ans; } }
二叉树的右视图 1 2 3 4 5 6 7 8 9 10 11 12 13 14 15 16 17 18 19 20 21 22 23 24 25 26 27 28 29 30 31 32 33 34 35 36 37 38 39 40 41 42 43 44 45 46 47 48 49 50 51 52 53 54 55 56 57 58 59 60 61 62 63 64 65 66 67 68 69 70 71 72 73 74 75 76 77 class Solution { public List<Integer> rightSideView (TreeNode root) { Map<Integer, Integer> rightmostValueAtDepth = new HashMap <Integer, Integer>(); int max_depth = -1 ; Deque<TreeNode> nodeStack = new LinkedList <TreeNode>(); Deque<Integer> depthStack = new LinkedList <Integer>(); nodeStack.push(root); depthStack.push(0 ); while (!nodeStack.isEmpty()) { TreeNode node = nodeStack.pop(); int depth = depthStack.pop(); if (node != null ) { max_depth = Math.max(max_depth, depth); if (!rightmostValueAtDepth.containsKey(depth)) { rightmostValueAtDepth.put(depth, node.val); } nodeStack.push(node.left); nodeStack.push(node.right); depthStack.push(depth + 1 ); depthStack.push(depth + 1 ); } } List<Integer> rightView = new ArrayList <Integer>(); for (int depth = 0 ; depth <= max_depth; depth++) { rightView.add(rightmostValueAtDepth.get(depth)); } return rightView; } } class Solution { public List<Integer> rightSideView (TreeNode root) { Map<Integer, Integer> rightmostValueAtDepth = new HashMap <Integer, Integer>(); int max_depth = -1 ; Queue<TreeNode> nodeQueue = new LinkedList <TreeNode>(); Queue<Integer> depthQueue = new LinkedList <Integer>(); nodeQueue.add(root); depthQueue.add(0 ); while (!nodeQueue.isEmpty()) { TreeNode node = nodeQueue.remove(); int depth = depthQueue.remove(); if (node != null ) { max_depth = Math.max(max_depth, depth); rightmostValueAtDepth.put(depth, node.val); nodeQueue.add(node.left); nodeQueue.add(node.right); depthQueue.add(depth + 1 ); depthQueue.add(depth + 1 ); } } List<Integer> rightView = new ArrayList <Integer>(); for (int depth = 0 ; depth <= max_depth; depth++) { rightView.add(rightmostValueAtDepth.get(depth)); } return rightView; } }
翻转二叉树 1 2 3 4 5 6 7 8 9 10 11 12 13 class Solution { public TreeNode invertTree (TreeNode root) { if (root == null ) { return null ; } TreeNode left = invertTree(root.left); TreeNode right = invertTree(root.right); root.left = right ; root.right = left; return root; } }
二叉树的完全性检验
相同的树 1 2 3 4 5 6 7 8 9 10 11 12 13 class Solution { public boolean isSameTree (TreeNode p, TreeNode q) { if (p == null && q == null ) { return true ; } else if (p == null || q == null ) { return false ; } else if (p.val != q.val) { return false ; } else { return isSameTree(p.left, q.left) && isSameTree(p.right, q.right); } } }
填充每个节点的下一个右侧节点指针 1 2 3 ``` ## 填充每个节点的下一个右侧节点指针 II ```java
二叉树的序列化和反序列化 1 2 3 4 5 6 7 8 9 10 11 12 13 14 15 16 17 18 19 20 21 22 23 24 25 26 ``` ## 二叉树展开为链表 ```java class Solution { public void flatten (TreeNode root) { List<TreeNode> list = new ArrayList <TreeNode>(); preorderTraversal(root, list); int size = list.size(); for (int i = 1 ; i < size; i++) { TreeNode prev = list.get(i - 1 ), curr = list.get(i); prev.left = null ; prev.right = curr; } } public void preorderTraversal (TreeNode root, List<TreeNode> list) { if (root != null ) { list.add(root); preorderTraversal(root.left, list); preorderTraversal(root.right, list); } } }
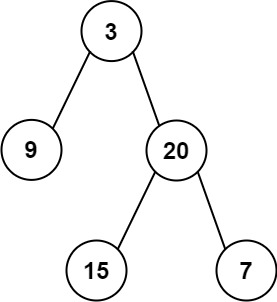
从前序与中序遍历序列构造二叉树 前序遍历:根左右;
中序遍历:左根右;
举例:
输入: preorder = [3,9,20,15,7], inorder = [9,3,15,20,7] 输出: [3,9,20,null,null,15,7]
1 2 3 4 5 6 7 8 9 10 11 12 13 14 15 16 17 18 19 20 21 22 23 24 25 26 27 28 29 30 31 32 33 34 35 36 37 38 39 40 41 42 43 44 45 46 47 48 49 50 51 52 53 54 55 56 57 58 59 60 61 62 63 64 65 66 67 68 class Solution { private Map<Integer, Integer> indexMap; public TreeNode myBuildTree (int [] preorder, int [] inorder, int preorder_left, int preorder_right, int inorder_left, int inorder_right) { if (preorder_left > preorder_right) { return null ; } int preorder_root = preorder_left; int inorder_root = indexMap.get(preorder[preorder_root]); TreeNode root = new TreeNode (preorder[preorder_root]); int size_left_subtree = inorder_root - inorder_left; root.left = myBuildTree(preorder, inorder, preorder_left + 1 , preorder_left + size_left_subtree, inorder_left, inorder_root - 1 ); root.right = myBuildTree(preorder, inorder, preorder_left + size_left_subtree + 1 , preorder_right, inorder_root + 1 , inorder_right); return root; } public TreeNode buildTree (int [] preorder, int [] inorder) { int n = preorder.length; indexMap = new HashMap <Integer, Integer>(); for (int i = 0 ; i < n; i++) { indexMap.put(inorder[i], i); } return myBuildTree(preorder, inorder, 0 , n - 1 , 0 , n - 1 ); } } class Solution { public TreeNode buildTree (int [] preorder, int [] inorder) { if (preorder == null || preorder.length == 0 ) { return null ; } TreeNode root = new TreeNode (preorder[0 ]); Deque<TreeNode> stack = new LinkedList <TreeNode>(); stack.push(root); int inorderIndex = 0 ; for (int i = 1 ; i < preorder.length; i++) { int preorderVal = preorder[i]; TreeNode node = stack.peek(); if (node.val != inorder[inorderIndex]) { node.left = new TreeNode (preorderVal); stack.push(node.left); } else { while (!stack.isEmpty() && stack.peek().val == inorder[inorderIndex]) { node = stack.pop(); inorderIndex++; } node.right = new TreeNode (preorderVal); stack.push(node.right); } } return root; } }
验证二叉搜索树 1 2 3 4 5 6 7 8 9 10 11 12 13 14 15 class Solution { public boolean isValidBST (TreeNode root) { return isValidBST(root, Long.MIN_VALUE, Long.MAX_VALUE); } public boolean isValidBST (TreeNode node, long lower, long upper) { if (node == null ) { return true ; } if (node.val <= lower || node.val >= upper) { return false ; } return isValidBST(node.left, lower, node.val) && isValidBST(node.right, node.val, upper); } }
二叉搜索树迭代器 1 2 3 4 5 6 7 8 9 10 11 12 13 14 15 16 17 18 19 20 21 22 23 24 25 26 27 class BSTIterator { private int idx; private List<Integer> arr; public BSTIterator (TreeNode root) { idx = 0 ; arr = new ArrayList <Integer>(); inorderTraversal(root, arr); } public int next () { return arr.get(idx++); } public boolean hasNext () { return idx < arr.size(); } private void inorderTraversal (TreeNode root, List<Integer> arr) { if (root == null ) { return ; } inorderTraversal(root.left, arr); arr.add(root.val); inorderTraversal(root.right, arr); } }
二叉搜索树中的搜索 1 2 3 4 5 6 7 8 9 10 11 class Solution { public TreeNode searchBST (TreeNode root, int val) { if (root == null ) { return null ; } if (val == root.val) { return root; } return searchBST(val < root.val ? root.left : root.right, val); } }
二叉搜索树中的插入操作 1 2 3 4 5 6 7 8 9 10 11 12 13 14 15 16 17 18 19 20 21 22 23 24 25 26 class Solution { public TreeNode insertIntoBST (TreeNode root, int val) { if (root == null ) { return new TreeNode (val); } TreeNode pos = root; while (pos != null ) { if (val < pos.val) { if (pos.left == null ) { pos.left = new TreeNode (val); break ; } else { pos = pos.left; } } else { if (pos.right == null ) { pos.right = new TreeNode (val); break ; } else { pos = pos.right; } } } return root; } }
删除二叉搜索树中的节点 1 2 3 4 5 6 7 8 9 10 11 12 13 14 15 16 17 18 19 20 21 22 23 24 25 26 27 28 29 30 31 32 33 34 35 class Solution { public TreeNode deleteNode (TreeNode root, int key) { if (root == null ) { return null ; } if (root.val > key) { root.left = deleteNode(root.left, key); return root; } if (root.val < key) { root.right = deleteNode(root.right, key); return root; } if (root.val == key) { if (root.left == null && root.right == null ) { return null ; } if (root.right == null ) { return root.left; } if (root.left == null ) { return root.right; } TreeNode successor = root.right; while (successor.left != null ) { successor = successor.left; } root.right = deleteNode(root.right, successor.val); successor.right = root.right; successor.left = root.left; return successor; } return root; } }