1. 树形动态规划简介
树形动态规划:简称为「树形 DP」,是一种在树形结构上进行推导的动态规划方法。如下图所示,树形 DP 的求解过程一般以节点从深到浅(子树从小到大)的顺序作为动态规划的「阶段」。在树形 DP 中,第 1 维通常是节点编号,代表以该节点为根的子树。

如果按照「阶段转移的方向」进行划分,可以划分为以下两种:
- 自底向上:通过递归的方式求解每棵子树,然后在回溯时,自底向上地从子节点向上进行状态转移。只有在当前节点的所有子树求解完毕之后,才可以求解当前节点,以及继续向上进行求解。
- 自顶向下:从根节点开始向下递归,逐层计算子节点的状态。这种方法常常使用记忆化搜索来避免重复计算,提高效率。
自顶向下的树形 DP 问题比较少见,大部分树形 DP 都是采用「自底向上」的方向进行推导。
如果按照「是否有固定根」进行划分,可以划分为以下两种:
- 固定根的树形 DP:事先指定根节点的树形 DP 问题,通常只需要从给定的根节点开始,使用 1 次深度优先搜索。
- 不定根的树形 DP:事先没有指定根节点的树形 DP 问题,并且根节点的变化会对一些值,例如子节点深度和、点权和等产生影响。通常需要使用 2 次深度优先搜索,第 1 次预处理诸如深度,点权和之类的信息,第 2 次开始运行换根动态规划。
2. 固定根的树形DP
2.1 固定根的树形DP基本思路
固定根的树形 DP 问题,如果是二叉树,树通常是以根节点的形式给出。我们可以直接从指定根节点出发进行深度优先搜索。如果是多叉树,树是以一张 n 个节点、n−1 条边的无向图形式给出的,并且事先给出指定根节点的编号。这种情况下,我们要先用邻接表存储下这 n 个点和 n−1 条边,然后从指定根节点出发进行深度优先搜索,并注意标记节点是否已经被访问过,以避免在遍历中沿着反向边回到父节点。
2.2 二叉树中的最大路径和
2.2.1 题目链接
2.2.2 题目大意
描述:给定一个二叉树的根节点 root。
要求:返回其最大路径和。
说明:
- 路径:被定义为一条节点序列,序列中每对相邻节点之间都存在一条边。同一个节点在一条路径序列中至多出现一次。该路径至少包含一个节点,且不一定经过根节点。
- 路径和:路径中各节点值的总和。
- 树中节点数目范围是 [1,3∗104]。
- −1000≤Node.val≤1000。
示例:
- 示例 1:

1 | 输入:root = [1,2,3] |
- 示例 2:

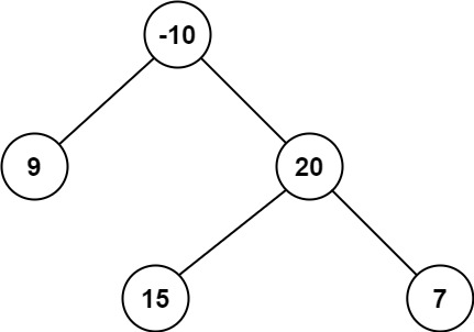
1 | 输入:root = [-10,9,20,null,null,15,7] |
2.2.3 解题思路
思路 1:树形 DP + 深度优先搜索
根据最大路径和中对应路径是否穿过根节点,我们可以将二叉树分为两种:
- 最大路径和中对应路径穿过根节点。
- 最大路径和中对应路径不穿过根节点。
如果最大路径和中对应路径穿过根节点,则:该二叉树的最大路径和 = 左子树中最大贡献值 + 右子树中最大贡献值 + 当前节点值。
而如果最大路径和中对应路径不穿过根节点,则:该二叉树的最大路径和 = 所有子树中最大路径和。
即:**该二叉树的最大路径和 = max(左子树中最大贡献值 + 右子树中最大贡献值 + 当前节点值,所有子树中最大路径和)**。
对此我们可以使用深度优先搜索递归遍历二叉树,并在递归遍历的同时,维护一个最大路径和变量 ans。
然后定义函数 def dfs(self, node): 计算二叉树中以该节点为根节点,并且经过该节点的最大贡献值。
计算的结果可能的情况有 2 种:
- 经过空节点的最大贡献值等于 0。
- 经过非空节点的最大贡献值等于 当前节点值 + 左右子节点提供的最大贡献值中较大的一个。如果该贡献值为负数,可以考虑舍弃,即最大贡献值为 0。
在递归时,我们先计算左右子节点的最大贡献值,再更新维护当前最大路径和变量。最终 ans 即为答案。具体步骤如下:
- 如果根节点 root 为空,则返回 0。
- 递归计算左子树的最大贡献值为 leftmax。
- 递归计算右子树的最大贡献值为 rightmax。
- 更新维护最大路径和变量,即 self.ans=max{self.ans,leftmax+rightmax+node.val}。
- 返回以当前节点为根节点,并且经过该节点的最大贡献值。即返回 当前节点值 + 左右子节点提供的最大贡献值中较大的一个。
- 最终 self.ans 即为答案。
思路 1:代码
1 | # Definition for a binary tree node. |
思路 1:复杂度分析
- 时间复杂度:O(n),其中 n 是二叉树的节点数目。
- 空间复杂度:O(n)。递归函数需要用到栈空间,栈空间取决于递归深度,最坏情况下递归深度为 n,所以空间复杂度为 O(n)。
2.3 相邻字符不同的最长路径
2.3.1 题目链接
2.3.2 题目大意
描述:给定一个长度为 n 的数组 parent 来表示一棵树(即一个连通、无向、无环图)。该树的节点编号为 0∼n−1,共 n 个节点,其中根节点的编号为 0。其中 parent[i] 表示节点 i 的父节点,由于节点 0 是根节点,所以 parent[0]==−1。再给定一个长度为 n 的字符串,其中 s[i] 表示分配给节点 i 的字符。
要求:找出路径上任意一对相邻节点都没有分配到相同字符的最长路径,并返回该路径的长度。
说明:
- n==parent.length==s.length。
- 1≤n≤105。
- 对所有 i≥1,0≤parent[i]≤n−1 均成立。
- parent[0]==−1。
- parent 表示一棵有效的树。
- s 仅由小写英文字母组成。
示例:
- 示例 1:

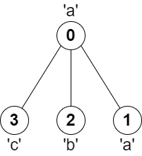
1 | 输入:parent = [-1,0,0,1,1,2], s = "abacbe" |
- 示例 2:

1 | 输入:parent = [-1,0,0,0], s = "aabc" |
2.3.3 解题思路
思路 1:树形 DP + 深度优先搜索
因为题目给定的是表示父子节点的 parent 数组,为了方便递归遍历相邻节点,我们可以根据 partent数组,建立一个由父节点指向子节点的有向图 graph。
如果不考虑相邻节点是否为相同字符这一条件,那么这道题就是在求树的直径(树的最长路径长度)中的节点个数。
对于根节点为 u 的树来说:
- 如果其最长路径经过根节点 u,则:最长路径长度 = 某子树中的最长路径长度 + 另一子树中的最长路径长度 + 1。
- 如果其最长路径不经过根节点 u,则:最长路径长度 = 某个子树中的最长路径长度。
即:**最长路径长度 = max(某子树中的最长路径长度 + 另一子树中的最长路径长度 + 1,某个子树中的最长路径长度)**。
对此,我们可以使用深度优先搜索递归遍历 u 的所有相邻节点 v,并在递归遍历的同时,维护一个全局最大路径和变量 ans,以及当前节点 u 的最大路径长度变量 ulen。
- 先计算出从相邻节点 v 出发的最长路径长度 vlen。
- 更新维护全局最长路径长度为 self.ans=max(self.ans,ulen+vlen+1)。
- 更新维护当前节点 u 的最长路径长度为 ulen=max(ulen,vlen+1)。
因为题目限定了「相邻节点字符不同」,所以在更新全局最长路径长度和当前节点 u 的最长路径长度时,我们需要判断一下节点 u 与相邻节点 v 的字符是否相同,只有在字符不同的条件下,才能够更新维护。
最后,因为题目要求的是树的直径(树的最长路径长度)中的节点个数,而:路径的节点 = 路径长度 + 1,所以最后我们返回 self.ans+1 作为答案。
思路 1:代码
1 | class Solution: |
思路 1:复杂度分析
- 时间复杂度:O(n),其中 n 是树的节点数目。
- 空间复杂度:O(n)。
3. 不定根的树形 DP
3.1 不定根的树形 DP 基本思路
不定根的树形 DP 问题,如果是二叉树,树通常是以一张 n 个节点、n−1条边的无向图形式给出的,并且事先没有指定根节点。通常需要以「每个节点为根节点」进行一系列统计。
这种情况下,我们一般通过「两次扫描与换根法」的方法求解这类题目:
- 第一次扫描时,任选一个节点为根,在「有固定根的树」上执行一次树形 DP,预处理树的一些相关信息。
- 第二次扫描时,从刚才的根节点出发,对整棵树再执行一次深度优先搜索,同时携带根节点的一些信息提供给子节点进行推导,计算出「换根」之后的解。
3.2 最小高度树
3.2.1 题目链接
3.2.2 题目大意
描述:有一棵包含 n 个节点的树,节点编号为 0∼n−1。给定一个数字 n 和一个有 n−1 条无向边的 edges 列表来表示这棵树。其中 edges[i]=[ai,bi] 表示树中节点 ai 和 bi之间存在一条无向边。
可以选择树中的任何一个节点作为根,当选择节点 x 作为根节点时,设结果树的高度为 h。在所有可能的树种,具有最小高度的树(即 min(h))被成为最小高度树。
要求:找到所有的最小高度树并按照任意顺序返回他们的根节点编号列表。
说明:
- 树的高度:指根节点和叶子节点之间最长向下路径上边的数量。
- 1≤n≤2×104。
- edges.length==n−1。
- 0≤ai,bi<n。
- ai≠bi。
- 所有 (ai,bi) 互不相同。
- 给定的输入保证是一棵树,并且不会有重复的边。
示例:
- 示例 1:

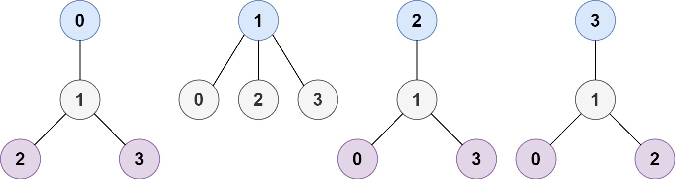
1 | 输入:n = 4, edges = [[1,0],[1,2],[1,3]] |
- 示例 2:

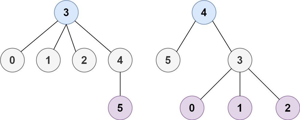
1 | 输入:n = 6, edges = [[3,0],[3,1],[3,2],[3,4],[5,4]] |
3.2.3 解题思路
思路 1:树形 DP + 二次遍历换根法
最容易想到的做法是:枚举 n 个节点,以每个节点为根节点,然后进行深度优先搜索,求出每棵树的高度。最后求出所有树中的最小高度即为答案。但这种做法的时间复杂度为 O(n2),而 n 的范围为 [1,2×104],这样做会导致超时,因此需要进行优化。
在上面的算法中,在一轮深度优先搜索中,除了可以得到整棵树的高度之外,在搜索过程中,其实还能得到以每个子节点为根节点的树的高度。如果我们能够利用这些子树的高度信息,快速得到以其他节点为根节点的树的高度,那么我们就能改进算法,以更小的时间复杂度解决这道题。这就是二次遍历与换根法的思想。
- 第一次遍历:自底向上的计算出每个节点 u 向下走(即由父节点 u 向子节点 v 走)的最长路径 down1[u]、次长路径 down2[i],并记录向下走最长路径所经过的子节点 p[u],方便第二次遍历时计算。
- 第二次遍历:自顶向下的计算出每个节点v向上走(即由子节点v向父节点u走)的最长路径up[v]。需要注意判断u向下走的最长路径是否经过了节点v。
- 如果经过了节点 v,则向上走的最长路径,取决于「父节点 u 向上走的最长路径」与「父节点 u 向下走的次长路径」 的较大值,再加上 1。
- 如果没有经过节点 v,则向上走的最长路径,取决于「父节点 u 向上走的最长路径」与「父节点 u 向下走的最长路径」 的较大值,再加上 1。
- 接下来,我们通过枚举 n 个节点向上走的最长路径与向下走的最长路径,从而找出所有树中的最小高度,并将所有最小高度树的根节点放入答案数组中并返回。
整个算法具体步骤如下:
- 使用邻接表的形式存储树。
- 定义第一个递归函数
dfs(u, fa)用于计算每个节点向下走的最长路径down1[u]、次长路径down2[u],并记录向下走的最长路径所经过的子节点p[u]。- 对当前节点的相邻节点进行遍历。
- 如果相邻节点是父节点,则跳过。
- 递归调用
dfs(v, u)函数计算邻居节点的信息。 - 根据邻居节点的信息计算当前节点的高度,并更新当前节点向下走的最长路径 down1[u]、当前节点向下走的次长路径 down2、取得最长路径的子节点 p[u]。
- 定义第二个递归函数
reroot(u, fa)用于计算每个节点作为新的根节点时向上走的最长路径up[v]。- 对当前节点的相邻节点进行遍历。
- 如果相邻节点是父节点,则跳过。
- 根据当前节点u的高度和相邻节点v的信息更新up[v]。同时需要判断节点u向下走的最长路径是否经过了节点v。
- 如果经过了节点 v,则向上走的最长路径,取决于「父节点 u 向上走的最长路径」与「父节点 u 向下走的次长路径」 的较大值,再加上 1,即:up[v]=max(up[u],down2[u])+1。
- 如果没有经过节点 v,则向上走的最长路径,取决于「父节点 u 向上走的最长路径」与「父节点 u* 向下走的最长路径」 的较大值,再加上 1,即:up[v]=max(up[u],down1[u])+1。
- 递归调用
reroot(v, u)函数计算邻居节点的信息。
- 调用
dfs(0, -1)函数计算每个节点的最长路径。 - 调用
reroot(0, -1)函数计算每个节点作为新的根节点时的最长路径。 - 找到所有树中的最小高度。
- 将所有最小高度的节点放入答案数组中并返回。
思路 1:代码
1 | class Solution: |
思路 1:复杂度分析
- 时间复杂度:O(n)。
- 空间复杂度:O(n)。